어느덧 3월이 되어 미복귀 휴가 출발한 지도 2주가 넘었습니다...
이제 공부를 다시 시작해보려 합니다.
그래픽스 강의는 Youtube - Cem Yuksel 채널을 참고하고 있습니다.
https://www.youtube.com/channel/UCfGIWnnZY79KO0b12O57byw
Cem Yuksel
Cem Yuksel is a computer graphics researcher and a professor in the School of Computing at the University of Utah.
www.youtube.com
한글 자막은 없습니다.....
영어는 어렵지만 한 번씩 사람 좋은 미소를 날려주십니다.
1장은 건너뛰고 2장 - Math BackGround부터 시작하겠습니다.
<< 본문 >>
⦁ Vectors
- 1D: [x]
- 2D: [x,y]
- 3D: [x,y,z]
- nD: [x,y,z, … ]
3D를 가장 자주 다룰 것

<- 행 표기법을 주로 사용할 예정. 옆은 전치 표기법
벡터의 요소는 위치 혹은 방향을 나타냄

<- 가장 일반적인 벡터 표기방식

<- 항상 그런 것은 아니지만 일반적인 컴퓨터 그래픽스에서 사용하는 벡터 표기방식-볼드체 소문자
논문과 책마다 다를 수도 있음

일반적으로 알고 있는 백터의 길이를 구하는 공식
* 단위벡터

단위가 무엇이건 간에 길이가 1인 벡터를 유닛벡터(단위벡터)
* 벡터의 연산
![]() |
![]() |
⦁ 백터의 내적
![]() |
![]() |
![]() |
내적의 결괏값은 스칼라(방향이 없이 크기만 존재함)
컴퓨터 그래픽스에서 광범위하게 사용됨

내적 연산의 기본적인 방식
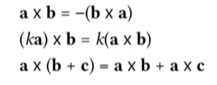
⦁ 백터의 외적
![]() |
![]() |
a, b의 방향이 같다면 제로벡터가 생김
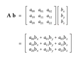
⦁ Matrices(행렬)

컴퓨터 그래픽스에선 일반적으로 볼드체 대문자로 행렬을 표시

| 컴퓨터그래픽스 필기노트 3강-모델링 (0) | 2022.03.12 |
|---|---|
| 컴퓨터그래픽스 필기노트 2강-수학 기초 (0) | 2022.03.10 |
| 컴퓨터그래픽스 필기노트 1강-서론 (0) | 2022.03.10 |
| Graphics 필기노트 #03 (0) | 2022.03.05 |
| Graphics 필기노트 #02 (0) | 2022.03.04 |
댓글 영역